آپلود ویدئو | ورود | ثبت نام


دانشجو-

جلسه بیست و ششم الکترونیک 2


Embed گزارش تخلف

مشاهده 2963

دریافت ویدئو: حجم کم کیفیت بالا
توسط دانشجو در 31 Jan 2013
توضیحات:

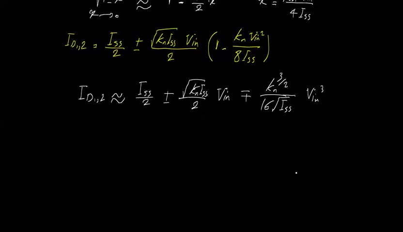
رفتار سیگنال بزرگ تقویت کننده تفاضلی MOSFET.
ویدئو های کامل درس در:
http://maktabkhooneh.org/course?course=daneshjoo242

لغات کلیدی:


comments powered by Disqus

درباره ما | تماس با ما | قوانین تخته سفید