آپلود ویدئو | ورود | ثبت نام


فرادرس-

آموزش فرایندهای تصادفی (Stochastic process) - درس ششم: فرایند های انتشار (الف)


Embed گزارش تخلف

مشاهده 1638

دریافت ویدئو: حجم کم کیفیت بالا
توسط فرادرس در 23 Oct 2017
توضیحات:


برای کسب اطلاعات بیشتر، به این لینک مراجعه نمایید:
#http://www.faradars.org/fvst94111

این آموزش بر اساس نظریه توابع و احتمال و همچنین توسعه نظریه مارتینگل ارائه شده است، که نظریه بسیار تخصصی است. این آموزش بر آن است که دانشجو را به صورت گام به گام از مفاهیم ساده و پایه به مباحث پیچیده برساند. از همین رو، حاوی مثال های حل شده بسیاری است و اثبات ها ساده ارائه شده اند، اما بیشتر تکنیک های اثبات با استدلال های اکتشافی به متون کامل تر دیگر ارجاع داده و جایگزین شده اند. بدین ترتیب دانشجو می تواند سریع تر به نتایج پیشرفته برسد. این نتایج در موارد کاربردی مورد نیاز هستند. به عنوان مثال، در قیمت گذاری حق اختیار، نیازمند تغییر روش اندازه گیری در هستیم؛ یا در پالایش نیازمند محاسبات امید شرطی با توجه به یک پالایه جدید هستیم. پس مشخص می شود ریشه حل مسائل کاربردی کاملاً نامرتبط در همان نتایج ریاضیاتی است. به عنوان مثال مسأله قیمت گذاری یک حق اختیار و مسأله پالایش بهینه یک نویز سیگنال، هر دو بر اساس ویژگی های نمایش مارتینگل در حرکت برونی حل می شوند.



سرفصل های مورد بحث در این فیلم آموزشی عبارتند از:
درس یکم: مقدمات از حسابان
توابع در حسابان
وردش (تغییرات) یک تابع
انتگرال ریمان و انتگرال اشتیلیس
روش انتگرال گیری لبگ
فرمول تیلور و دیگر نتایج
درس دوم: مفاهیم نظریه اندازه
مدل های احتمال گسسته
مدل های احتمال پیوسته
امید و انتگرال لبگ
تبدیل و همگرایی
استقلال و کواریانس
توزیع نرمال (گاوسین)
امید شرطی
فرایند تصادفی در زمان پیوسته
درس سوم: فرایند های تصادفی بیسیک (پایه)
حرکت براونی
ویژگی های مسیرهای حرکت براوانی
سه مارتینگل از حرکت بروانی
ویژگی مارکوف از حرکت براونی
زمان برخورد و زمان خروج
ماکسیمم و مینیمم حرکت براونی
توزیع زمان برخورد
توزیع توام و اصل انعکاس (بازتاب)
صفرهای حرکت براونی، قانون آرسین
اندازه حرکت براونی
حرکت براونی در ابعاد بالاتر
قدم زدن تصادفی
انتگرال تصادفی در زمان گسسته
فرایند پواسون
درس چهارم: حسابان حرکت براونی
تعریفی از انتگرال ایتو
فرایند انتگرال ایتو
انتگرال ایتو و فرایند گاوسی
فرمول ایتو برای حرکت براونی
فرایند ایتو و دیفرانسیل تصادفی
فرمول ایتو برای فرایند ایتو
فرایند ایتو در ابعاد بالاتر
درس پنجم: معادلات دیفرانسیل تصادفی
تعریفی از معادلات دیفرانسیل تصادفی
لگاریتم و نمایی تصادفی
حل SDE های خطی
وجود و یکتایی یک جواب قوی
خواص مارکوف از جواب ها
جواب ضعیف برای SDE ها
ساختن جواب ضعیف
معادلات پیشرو و پسرو
حسابان تصادفی استراتانوویچ
درس ششم: فرایند انتشار
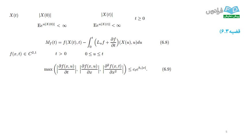
مارتینگل ها و فرمول دایکین
حسابان امید و PDE ها
انتشار همگن زمان
زمان خروج از بازه
نمایشی از راه حل های ODE ها
تلاطم
برگشت پذیری و ناپایداری
انتشار روی یک بازه
توزیع های پایدار
SDE های چند بعدی
درس هفتم: مارتینگل ها
تعاریف
انتگرال پذیری یکنواخت
همگرایی مارتیتگل
توقف اختیاری
موضعی سازی و مارتینگل های موضعی (محلی)
وردش درجه دوم مارتینگل ها
نابرابری مارتینگل ها
پیوستگی مارتینگل ها، تغییر زمان

مدرس: مقداد نجفی

لغات کلیدی:

آموزش, فرایندهای, تصادفی, (Stochastic, process)


comments powered by Disqus

درباره ما | تماس با ما | قوانین تخته سفید