آپلود ویدئو | ورود | ثبت نام


saeed1922-

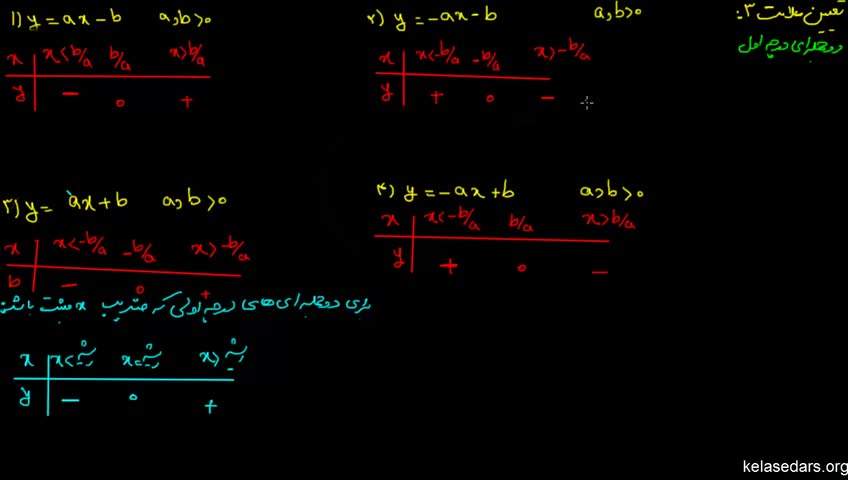
04 – تعیین علامت دو جمله ای درجه اول ۳


Embed گزارش تخلف

مشاهده 2094

دریافت ویدئو: حجم کم کیفیت بالا
توسط saeed1922 در 30 Aug 2013
توضیحات:

لغات کلیدی:

04, –, تعیین, علامت, دو, جمله, ای, درجه, اول, ۳


comments powered by Disqus

درباره ما | تماس با ما | قوانین تخته سفید