آپلود ویدئو | ورود | ثبت نام


دانشجو-

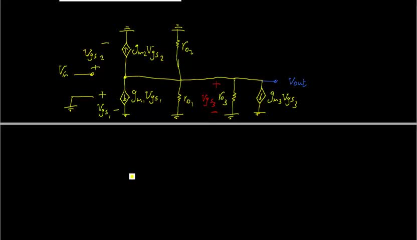
جلسه سی و ششم الکترونیک 1


Embed گزارش تخلف

مشاهده 3408

دریافت ویدئو: حجم کم کیفیت بالا
توسط دانشجو در 13 Sep 2012
توضیحات:

مدارات چند ترانزیستوری MOS.
ویدئو های کامل درس در:
http://maktabkhooneh.org/course?course=daneshjoo294

لغات کلیدی:


comments powered by Disqus

درباره ما | تماس با ما | قوانین تخته سفید