آپلود ویدئو | ورود | ثبت نام


siavash533-

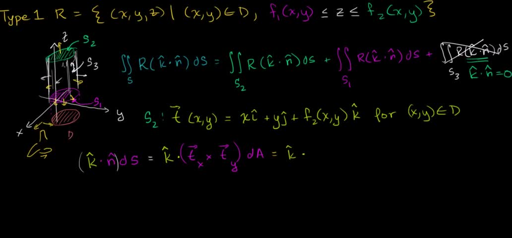
Divergence theorem proof (part 3) | Divergence theorem | Multivariable Calculus | Khan Academy


Embed گزارش تخلف

مشاهده 1354

دریافت ویدئو: حجم کم کیفیت بالا
توسط siavash533 در 18 Aug 2016
توضیحات:

Evaluating the surface integral Watch the next lesson: https://www.khanacademy.org/math/multivariable-calculus/divergence_theorem_topic/divergence_theorem_pr...

لغات کلیدی:


comments powered by Disqus

درباره ما | تماس با ما | قوانین تخته سفید