آپلود ویدئو | ورود | ثبت نام


saeed1922-

۰۷ - سهمی ۱


Embed گزارش تخلف

مشاهده 2424

دریافت ویدئو: حجم کم کیفیت بالا
توسط saeed1922 در 24 Sep 2013
توضیحات:

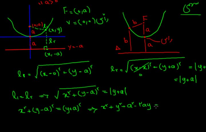
در این جلسه به آشنایی با معادله استاندارد سهمی های افقی و عمودی می پردازیم

لغات کلیدی:

۰۷, -, سهمی, ۱, مقاطع, مخروطی, سهمی, هندسه, تحلیلی, کلاس, درس, kelasedars, kelas, dars


comments powered by Disqus

درباره ما | تماس با ما | قوانین تخته سفید