آپلود ویدئو | ورود | ثبت نام


فرادرس-

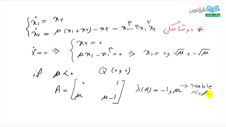
سیستم های کنترل غیرخطی با رویکرد حل مسأله - درس یکم:حل تمرین پدیده های غیرخطی - دوشاخگی


Embed گزارش تخلف

مشاهده 1152

دریافت ویدئو: حجم کم کیفیت بالا
توسط فرادرس در 19 Sep 2017
توضیحات:


برای کسب اطلاعات بیشتر، به این لینک مراجعه نمایید:
#http://www.faradars.org/fvee96031

با وجود پیشرفت های فوق العاده در طراحی کنترلرهای خطی، این نکته را باید در نظر گرفت که بسیاری از سیستم های واقعی، غیرخطی هستند. روش متداول برخورد با سیستم های غیرخطی، خطی سازی آنها حول نقطه کار داده شده و سپس طراحی کنترلر خطی برای سیستم غیرخطی می باشد. کنترلر طراحی شده در صورتی که:

پلانت غیرخطی دارای نقاط کاری متفاوت باشد و به مرور بین آنها سوئیچ کند.
پلانت دارای دینامیک غیرخطی بالایی باشد.
ممکن است جواب گو نباشد و نیاز داشته باشیم کنترلر طراحی شده را با در نظر گرفتن مدل پلانت غیرخطی طراحی کنیم و یا اینکه در صورتی که موارد بالا هم پیش نیاید، برای افزایش کارایی سیستم کنترل حلقه بسته و برخورد با المان های غیرخطی و عدم قطعیت ها، باید به سمت طراحی کنترلر با در نظر گرفتن پلانت غیرخطی، پیش برویم.

در این آموزش می خواهیم که با حل مسائل متنوع از بخش های مختلف کنترل سیستم های غیرخطی، درک و مهارت خود را از این سیستم ها بالاتر ببریم تا بتوانیم به صورت عملی تر از ابزارهایی که قبلاً در آموزش تحلیل و طراحی سیستم های غیرخطی در این لینک (+) ارائه شده است، در جهت انجام پروژه های خود استفاده کنیم.




سرفصل های مورد بحث در این فیلم آموزشی عبارتند از:
درس یکم: حل تمرین از پدیده های غیرخطی
استخراج مدل دینامیک غیرخطی
آنالیز نقاط تعادل
رسم پرتره فاز
سیکل حدی و قضایای مربوطه
تابع توصیفی
دوشاخگی
درس دوم: حل مسأله از آنالیز پایداری
آنالیز مستقیم پایداری
قضایای ناپایداری
پایداری نمایی
روش های تعیین تابع لیاپانوف
درس سوم: حل تمرین از آنالیز پیشرفته پایداری
قضیه لاسال
قضیه سنترمنیفولد
قضیه پسیویتی و حقیقی مثبت
ملاک دایره
ملاک پوپوف
درس چهارم: حل تمرین از طراحی کنترل غیرخطی
تابع کنترل لیاپانوف
کنترل غیرخطی پس گام
کنترل غیرخطی تطبیقی
کنترل غیرخطی فیدبک خطی ساز
کنترل غیرخطی مد لغزشی

مدرس: مهندس امید زندی

لغات کلیدی:

آموزش, سیستم, های, کنترل, غیرخطی, با, رویکرد, حل, مسأله


comments powered by Disqus

درباره ما | تماس با ما | قوانین تخته سفید