آپلود ویدئو | ورود | ثبت نام


saeed1922-

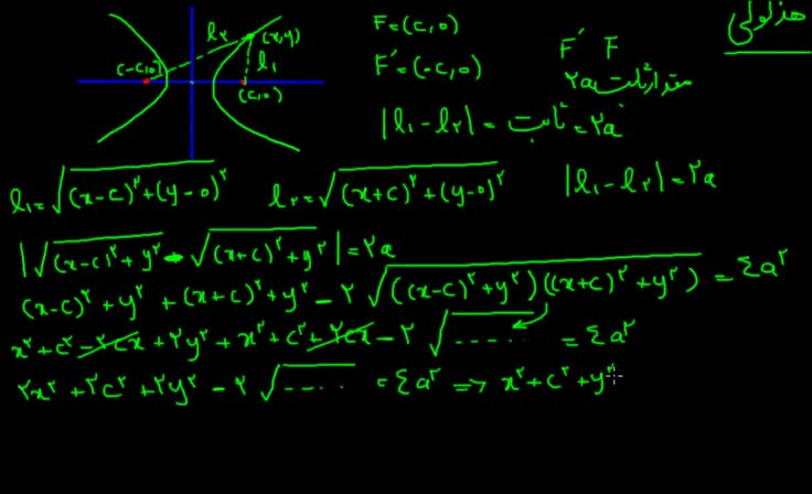
۰۹ - هذلولی ۱


Embed گزارش تخلف

مشاهده 2591

دریافت ویدئو: حجم کم کیفیت بالا
توسط saeed1922 در 24 Sep 2013
توضیحات:

در این جلسه معادله استاندارد هذلولی‌های افقی و عمودی که کانون‌های آنها نسبت به مبدأ مختصات متقارن هستند را بدست می‌آوریم.

لغات کلیدی:

۰۹, -, هذلولی, ۱, هندسه, تحلیلی, هذلولی, مقاطع, مخروطی, کلاس, درس, kelasedars, kelas, dars


comments powered by Disqus

درباره ما | تماس با ما | قوانین تخته سفید