آپلود ویدئو | ورود | ثبت نام


فرادرس-

"آموزش طراحی فیلتر و سنتز مدار درس پنجم: تقریب فیلتر (الف)"


Embed گزارش تخلف

مشاهده 1767

دریافت ویدئو: حجم کم کیفیت بالا
توسط فرادرس در 15 Apr 2017
توضیحات:


برای کسب اطلاعات بیشتر، به این لینک مراجعه نمایید:
#http://www.faradars.org/fvtel9506

درس فیلتر و سنتز مدار از دو قسمت تشکیل شده است. در قسمت فیلتر، هدف آن است که با استفاده از تقریب، یک تابع تبدیل مناسب انتخاب، تا مشخصات داده شده (اعم از دامنه و یا تأخیر) را بر آورده کند. در قسمت سنتز هدف آن است که این تابع تبدیل با استفاده از روش های مداری پیاده سازی شود.

در این درس ابتدا مفاهیم اولیه طراحی فیلتر و روش های سنتز مدار مورد بررسی قرار گرفته و سپس طراحی و پیاده سازی مداری فیلترهای آنالوگ فعال و غیر فعال ارائه می شود. در این آموزش، سعی بر آن است تا آموزش طراحی فیلتر، مناسب با دیدگاه یک مهندس طراح که علاقه مند به ساخت مداری فیلتر است، مطرح شود. در این راستا از نرم افزارهای موجود در زمینه مهندسی برق نظیر MATLAB و PSpice نیز استفاده شده تا برای دانشجو این امکان را فراهم سازد که به راحتی بتواند نتایج طراحی خود را به شکل یک مدار در کامپیوتر تحلیل نموده و پاسخ فرکانسی آن را مشاهده نماید. این نکته موجب می شود که اولاً به توان ایجاد شده در خود، ایمان آورده و ثانیاً لذت دست یافتن به پاسخ را درک کند.

سرفصل های مورد بحث در این فیلم آموزشی عبارتند از:
درس یکم: مفاهیم اولیه
سنتز و آنالیز مدار
دسته بندی فیلترها
مراحل مختلف طرح یک فیلتر
به مقیاس درآوردن، نرمالیزاسیون و دنرمالیزاسیون
درس دوم: توابع مثبت حقیقی
خاصیت مثبت حقیقی
شرایط PR معادل
چند جمله ای های هرویتز
توابع مثبت حقیقی (PR)
درس سوم: سنتز توابع امپدانس و ادمیتانس
خواص توابع نقطه تحریک (DP) بدون تلف
پیاده سازی توابع نقطه تحریک بدون تلف
خواص توابع نقطه تحریک RC (DP)
پیاده سازی توابع نقطه تحریک RC
درس چهارم: سنتز پسیو توابع تبدیل
شبکه های نردبانی
سنتز توابع تبدیل به کمک شبکه های نردبانی RC یا LC توسط تابع ادمیتانس
شبکه های لتیس
روش های دارلینگتون در سنتز توابع تبدیل
سنتز شبکه های بدون تلف با یک ترمینال
سنتز شبکه های بدون تلف با وجود مقاومت بار و منبع
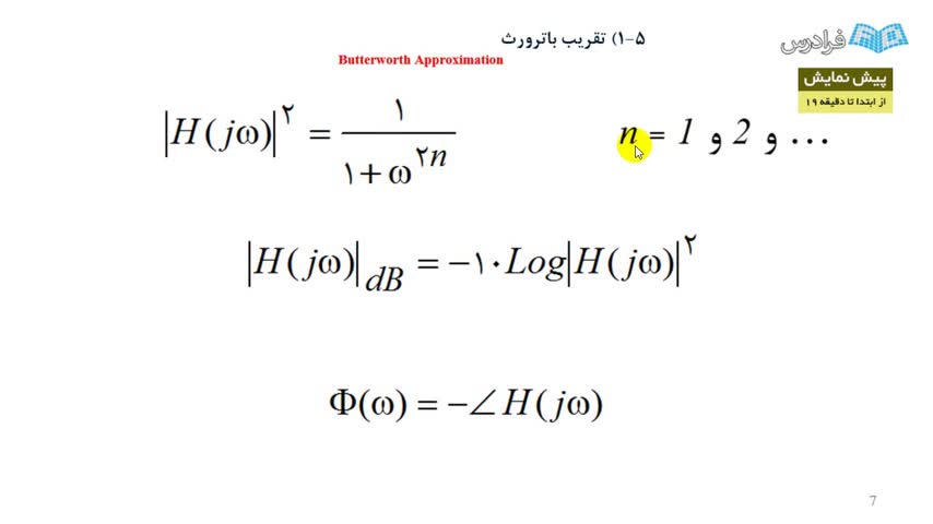
درس پنجم: تقریب فیلتر
تقریب باترورث
تقریب چبیشف
تقریب چبیشف معکوس
تقریب بیضوی
تقریب بسل
تبدیل فیلتر نرمالیزه پائین گذر به انواع دیگر فیلترها
دنرمالیزاسیون امپدانس
درس ششم: فیلترهای فعال
روش سنتز مستقیم
روش سنتز مستقیم با استفاده از مدار غیرفعال
شبیه سازی پرشی شبکه های نردبانی
روش پیاده سازی مستقیم با استفاده از متغیرهای حالت
روش پیاده سازی زنجیره ای
پیاده سازی تابع دو مجذوری توسط یک تقویت کننده عملیاتی
پیاده سازی چند تقویت کننده ای تابع دو مجذوری

مدرس: دکتر حمیدرضا خدادادی

لغات کلیدی:

آموزش, طراحی, فیلتر, و, سنتز, مدار


comments powered by Disqus

درباره ما | تماس با ما | قوانین تخته سفید