آپلود ویدئو | ورود | ثبت نام


manifaz-

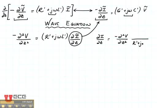
ECE3300 Lecture 5-6 TL Equations propagation constant


Embed گزارش تخلف

مشاهده 1308

دریافت ویدئو: حجم کم کیفیت بالا
توسط manifaz در 24 Aug 2014
توضیحات:

more info: www.ece.utah.edu/~ece3300

لغات کلیدی:

ece3300, furse, telegraphers, equations, university, of, utah, electromagnetics


comments powered by Disqus

درباره ما | تماس با ما | قوانین تخته سفید