آپلود ویدئو | ورود | ثبت نام


mojtabakd-

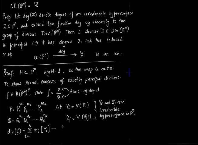
Divisor Class of Pn is Z


Embed گزارش تخلف

مشاهده 1286

دریافت ویدئو: حجم کم کیفیت بالا
توسط mojtabakd در 24 Sep 2015
توضیحات:

Ref: Hindry, Silverman Diophantine Geometry

لغات کلیدی:

Divisor Class of Pn, Algebraic Geometry


comments powered by Disqus

درباره ما | تماس با ما | قوانین تخته سفید