آپلود ویدئو | ورود | ثبت نام


elsun-

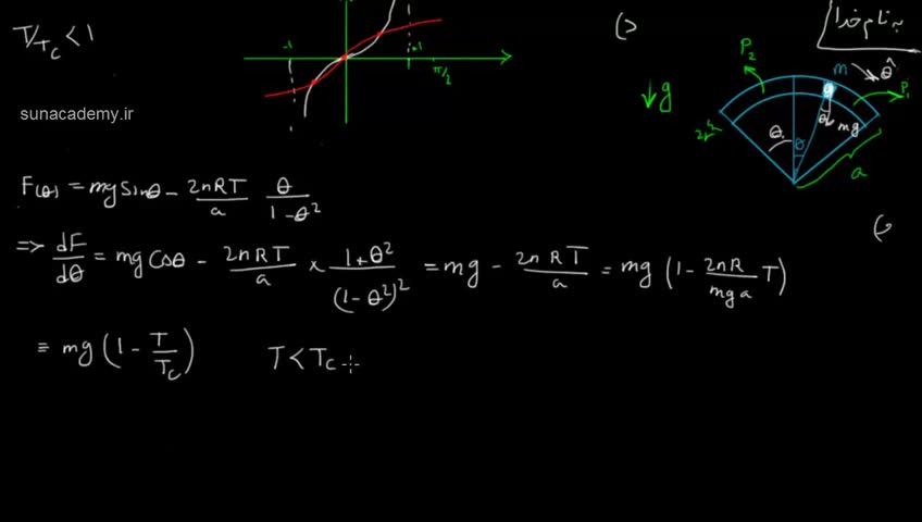
سوال 4 مرحله دوم المپیاد فیزیک 1392 بخش 2


Embed گزارش تخلف

مشاهده 1559

دریافت ویدئو: حجم کم کیفیت بالا
توسط elsun در 10 Apr 2014
توضیحات:

مدرس: سجاد خدادادیان

لغات کلیدی:


comments powered by Disqus

درباره ما | تماس با ما | قوانین تخته سفید