آپلود ویدئو | ورود | ثبت نام


دانشجو-

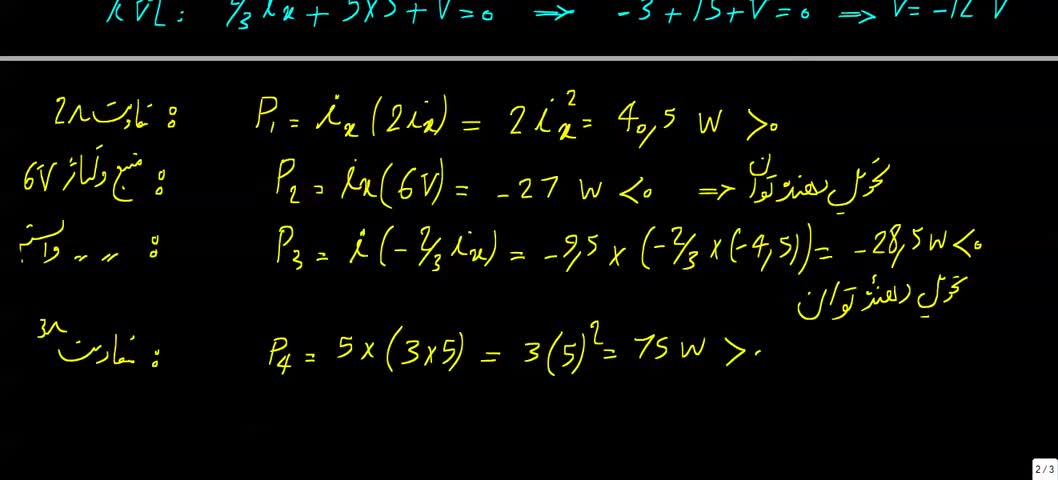
جلسه هفدهم مدارهای الکتریکی 1


Embed گزارش تخلف

مشاهده 1880

دریافت ویدئو: حجم کم کیفیت بالا
توسط دانشجو در 02 Oct 2015
توضیحات:

حل تمرین از مدارهای ساده (کاربرد منابع وابسته)

لغات کلیدی:


comments powered by Disqus

درباره ما | تماس با ما | قوانین تخته سفید