آپلود ویدئو | ورود | ثبت نام


دانشجو-

جلسه چهل و چهارم الکترونیک 2


Embed گزارش تخلف

مشاهده 2830

دریافت ویدئو: حجم کم کیفیت بالا
توسط دانشجو در 02 Apr 2013
توضیحات:

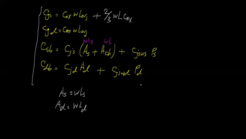
خازن های انگلی MOSFET - بخش سوم: ناحیه اشباع
ویدئو های کامل درس در:
http://maktabkhooneh.org/course?course=daneshjoo242

لغات کلیدی:


comments powered by Disqus

درباره ما | تماس با ما | قوانین تخته سفید