آپلود ویدئو | ورود | ثبت نام


mojtabakd-

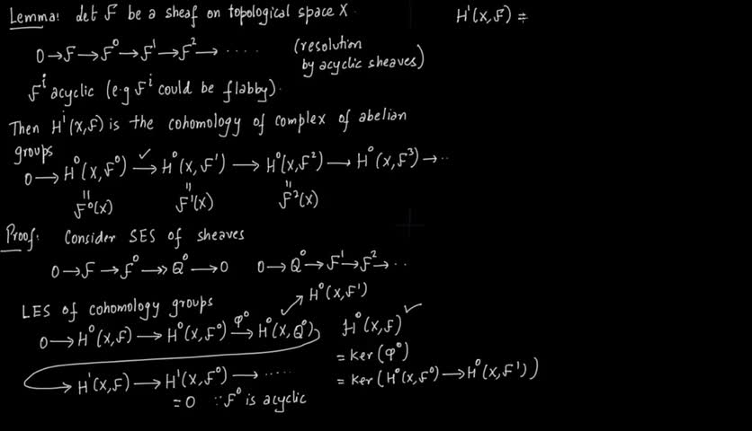
Acyclic resolution of a sheaf


Embed گزارش تخلف

مشاهده 1366

دریافت ویدئو: حجم کم کیفیت بالا
توسط mojtabakd در 24 Sep 2015
توضیحات:

How to use acyclic resolution of a sheaf to compute cohomology groups associated with a sheaf

لغات کلیدی:

Acyclic Sheaves, Sheaf Cohomology, Acyclic Resolution, Algebraic Geometry


comments powered by Disqus

درباره ما | تماس با ما | قوانین تخته سفید