آپلود ویدئو | ورود | ثبت نام


saeed1922-

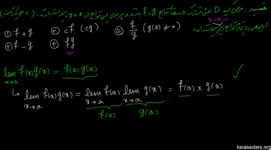
۰۵ - خواص پیوستگی ۱


Embed گزارش تخلف

مشاهده 1946

دریافت ویدئو: حجم کم کیفیت بالا
توسط saeed1922 در 30 Aug 2013
توضیحات:

در این ویدیو با برخی از خواص مهم پیوستگی آشنا می شویم. نظرات، پیشنهادات و انتقادات شما مایه‌ی دلگرمی‌ ماست و بزرگترین کمک به ما برای بهبود کیفیت ویدیو‌ها خوا...

لغات کلیدی:

۰۵, -, خواص, پیوستگی, ۱, کلاس, درس, آموزش, دبیرستان, سوم, دبیرستان, حسابان, حساب, دیفرانسیل, و, انتگرال, پیوستگی, تابع, ریاضی, خان, آکادمی, kelasedars, kelasedars.org, khanacademy, farsi, ira...


comments powered by Disqus

درباره ما | تماس با ما | قوانین تخته سفید