آپلود ویدئو | ورود | ثبت نام


دانشجو-

جلسه سی ام الکترونیک 1


Embed گزارش تخلف

مشاهده 3744

دریافت ویدئو: حجم کم کیفیت بالا
توسط دانشجو در 06 Sep 2012
توضیحات:

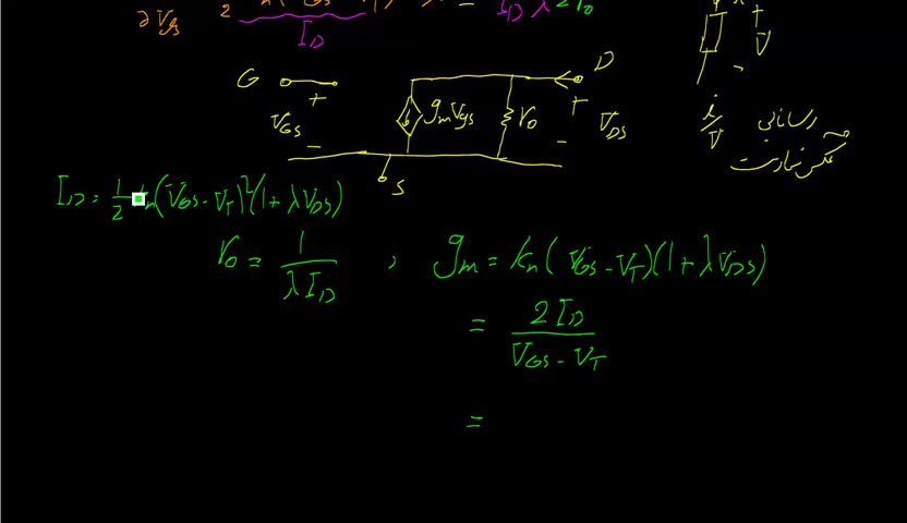
مدل سیگنال کوچک ترانزیستورهای MOS.
ویدئو های کامل درس در:
http://maktabkhooneh.org/course?course=daneshjoo294

لغات کلیدی:


comments powered by Disqus

درباره ما | تماس با ما | قوانین تخته سفید