آپلود ویدئو | ورود | ثبت نام


دانشجو-

جلسه سوم الکترونیک 1


Embed گزارش تخلف

مشاهده 7778

دریافت ویدئو: حجم کم کیفیت بالا
توسط دانشجو در 20 Jul 2012
توضیحات:

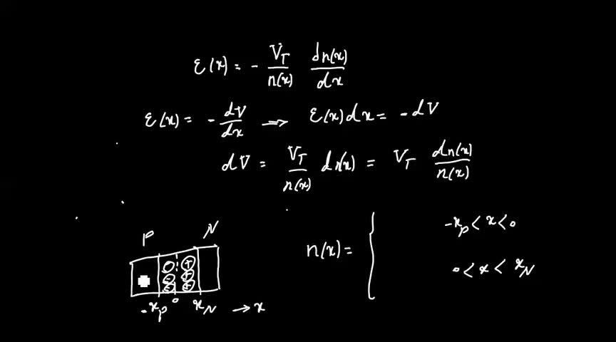
پیوند P-N
ویدئو های کامل درس در:
http://maktabkhooneh.org/course?course=daneshjoo294

لغات کلیدی:


comments powered by Disqus

درباره ما | تماس با ما | قوانین تخته سفید