آپلود ویدئو | ورود | ثبت نام


siavash533-

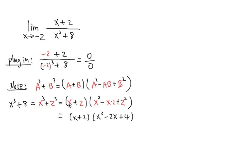
Evaluate limits by factoring the sum of two cubes,


Embed گزارش تخلف

مشاهده 1008

دریافت ویدئو: حجم کم کیفیت بالا
توسط siavash533 در 26 Aug 2018
توضیحات:

Evaluate limits, by factoring the sum of two cubes,


blackpenredpen,
math for fun

لغات کلیدی:


comments powered by Disqus

درباره ما | تماس با ما | قوانین تخته سفید