آپلود ویدئو | ورود | ثبت نام


فرادرس-

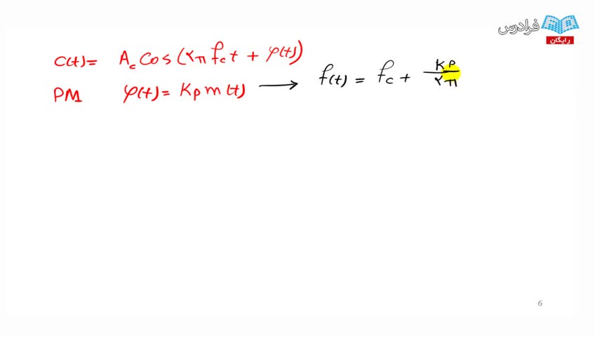
آموزش مخابرات ۱- درس سوم: مدولاسیون زاویه - بخش اول: مدولاسیون فاز و فرکانس


Embed گزارش تخلف

مشاهده 1748

دریافت ویدئو: حجم کم کیفیت بالا
توسط فرادرس در 10 Jan 2018
توضیحات:

برای کسب اطلاعات بیشتر، به این لینک مراجعه نمایید:
#faradars.org/fvtel102

درس مخابرات ۱ یا سیستم های مخابرات آنالوگ ۱، درس آشنایی با روش های پردازش سیگنال و آماده سازی سیگنال ها برای ارسال در یک کانال مخابراتی است. در این درس ابتدا انواع سیستم های مخابراتی، کانال های مخابراتی، سیگنال های مخابراتی و ابزارهای لازم برای تحلیل آنها بیان می شود. سپس در ادامه آموزش انواع روش های مدولاسیون و دمدولاسیون سیگنال های پیام، که اساس انتقال پیام در بسیاری از سیستم های مخابراتی است، ارائه می شود.

سرفصل های مورد بحث در این فیلم آموزشی عبارتند از:
درس یکم: سیگنال ها و سیستم ها
تاریخچه مخابرات
اجزای یک سیستم مخابراتی
مثال ساده از انتقال رادیویی
تعریف سیگنال و انواع دسته بندی های آن
سیگنال های توان و انرژی
معرفی برخی سیگنال های مهم
عملیات های ریاضی روی سیگنال ها
تعریف سیستم و انواع دسته بندی های آن
تحلیل سیستم های خطی و تغییرناپذیر با زمان (LTI)
سری فوریه
سری فوریه سیگنال های حقیقی
سری فوریه سیگنال های زوج و فرد
تحلیل سیستم های LTI با سری فوریه
رابطه پارسوال در سری فوریه
تبدیل فوریه
تبدیل فوریه سیگنال های زوج و فرد
خواص تبدیل فوریه
انتگرال کانولوشن
رابطه پارسوال در تبدیل فوریه
تبدیل فوریه سیگنال های متناوب
محاسبه ضرایب سری فوریه با استفاده از تبدیل فوریه
تحلیل سیستم های LTI با استفاده از تبدیل فوریه
فیلترهای آنالوگ
فیلترهای دیجیتال
چگالی طیف توان و انرژی
تبدیل هیلبرت
ویژگی های تبدیل هیلبرت
سیگنال های میان گذر و پایین گذر
حل تمرین مبحث توان و انرژی
حل تمرین مبحث سری فوریه
حل تمرین مبحث تبدیل فوریه
حل تمرین مبحث تحلیل سیستم های LTI با تبدیل فوریه
درس دوم: مدولاسیون دامنه
مقدمه مدولاسیون دامنه و اهداف آن
مدولاسیون دامنه DSB – SC
توان و پهنای باند در مدولاسیون دامنه DSB – SC
دمدولاسیون دامنه DSB – SC
مدولاسیون دامنه DSB
دمدولاسیون دامنه DSB
حلقه قفل شده فاز یا PLL
مدولاسیون دامنه متداول
توان و پهنای باند در مدولاسیون دامنه متداول
مدولاسیون دامنه تک باند جانبی یا SSB
دمدولاسیون دامنه SSB
مدولاسیون دامنه تک باند جانبی اثری (VSSB)
پیاده سازی مدولاتورها و دمدولاتورهای دامنه
مالتی پلکس کردن سیگنال ها
مالتی پلکس تربیعی
حل تمرین مبحث مدولاسیون دامنه DSB-SC
حل تمرین مبحث مدولاسیون دامنه DSB
حل تمرین از پیاده سازی مدولاتورهای دامنه
حل تمرین از مدولاسیون VSSB
درس سوم: مدولاسیون زاویه
مدولاسیون فاز و فرکانس
شاخص مدولاسیون فاز و فرکانس
مدولاسیون زاویه باند باریک
تحلیل فرکانسی مدولاسیون زاویه
طیف فرکانسی مدولاسیون فاز و فرکانس
پهنای باند مؤثر مدولاسیون زاویه
مدولاسیون زاویه برای یک موج مربعی
قاعده کارسون
پیاده سازی مدولاتورها و دمدولاتورهای زاویه
پیاده سازی مدولاتور زاویه با خازن و راکتور
پیاده سازی مدولاتور زاویه باند باریک
پیاده سازی مدولار باند پهن با استفاده از مدولاتور زاویه باند باریک
مبدل مدولاسیون زاویه به دامنه
طراحی فیلتر جهت دمدولاسیون زاویه
دمدولاسیون زاویه با استفاده از PLL
حل تمرین مدولاسیون فرکانس
حل تمرین مدولاسیون فاز
درس چهارم: فرایندهای تصادفی
سیگنال های تصادفی
امید ریاضی فرایندهای تصادفی
تابع خود همبستگی
تابع همبستگی متقابل
فرایندهای تصادفی ایستان
فرایندهای تصادفی چندگانه
استقلال و همبستگی فرایندها
ایستان توام
انتقال فرایندهای تصادفی از سیستم های خطی
طیف توان فرایندهای تصادفی
تابع چگالی توان متقابل
فرایندهای گاوسی و ویژگی های آن ها
فرایندهای سفید و ویژگی های آن ها
پهنای باند معادل نویز
حل تمرین فرایندهای تصادفی
درس پنجم: تأثیر نویز در سیستم های مخابرات آنالوگ
سیستم باندپایه
نسبت سیگنال به نویز سیستم باند پایه
تأثیر نویز در مدولاسیون دامنه DSB – SC
تأثیر نویز در مدولاسیون دامنه SSB
تأثیر نویز در مدولاسیون دامنه متداول
تأثیر نویز در مدولاسیون زاویه
مقایسه انواع مدولاتورهای دامنه و زاویه
اثرات تلفات انتقال و نویز در سیستم های مخابرات آنالوگ
دمای نویز و عدد نویز
تلفات انتقال
تکرارکننده ها
حل تمرین از تأثیر نویز در سیستم های مخابرات آنالوگ

مدرس: مهندس امید زندی

لغات کلیدی:

آموزش, مخابرات, ۱


comments powered by Disqus

درباره ما | تماس با ما | قوانین تخته سفید