آپلود ویدئو | ورود | ثبت نام


فرادرس-

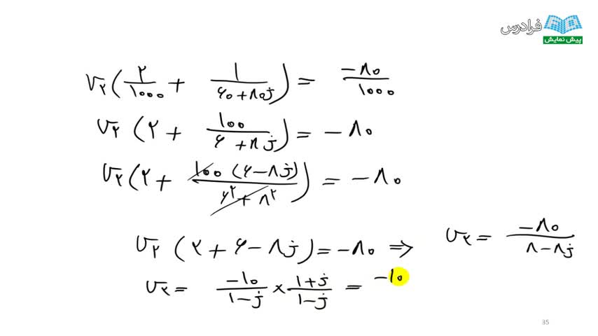
"حل تمرین مدارهای الکتریکی ۱ درس پنجم: مدارات تزویج و ترانسفورماتورها (پ)"


Embed گزارش تخلف

مشاهده 1341

دریافت ویدئو: حجم کم کیفیت بالا
توسط فرادرس در 23 Oct 2017
توضیحات:


برای کسب اطلاعات بیشتر، به این لینک مراجعه نمایید:
#http://www.faradars.org/FVEEE9605


در آموزش مدارهای الکتریکی ۱(+) که در مجموعه آموزشی فرادرس ضبط شده است، به مباحث تئوری درس مدارهای الکتریکی پرداخته شده است. در این آموزش سعی داریم با حل تمرینات متنوع از این درس، دانسته هایمان را تست کنیم و بتوانیم مدارهای الکتریکی پایه ای که یکی از مهم ترین درس های مفهومی و پایه ای مهندسی برق است را بیشتر یاد بگیریم.

سرفصل های مورد بحث در این فیلم آموزشی عبارتند از:
درس یکم: تحلیل مدارات الکتریکی ساده
معادلات اساسی خازن، سلف و مقاومت
معادله مشخصه سلف غیرخطی
معادله مشخصه مقاومت غیرخطی
مدارات دیود و مقاومت
آنالیز گره و مش
مدار معادل تونن
تبدیلات ستاره و مثلث
پل وتستون
شبکه مقاومتی بی نهایت
شبکه متقارن
کاربرد مدار معادل تونن
انتقال توان ماکزیمم
تقویت کننده های عملیاتی
درس دوم: تحلیل مدارات الکتریکی مرتبه اول
یادآوری مدار RC سری
نحوه یافتن شرایط اولیه
یافتن پاسخ کامل و رسم آن
تحلیل مدارات مرتبه اول دارای کلید
تحلیل مدارات مرتبه اول با ورودی ولتاژ و جریان دلخواه
یافتن پاسخ مدار RC به موج مربعی
یافتن پاسخ مدارات مرتبه اول غیرخطی
درس سوم: تحلیل مدارات الکتریکی مرتبه ۲ و بالاتر
یادآوری مدار RLC سری و موازی
تحلیل مدارات مرتبه دوم با ساختار دلخواه
شرایط نوسان در مدارهای مرتبه دوم
یافتن شرایط اولیه خاص برای حذف حالت گذار در مدار
مدارات مرتبه دوم شامل تقویت کننده های عملیاتی
مدار مرتبه n ام
شکل های مختلف جواب عمومی معادلات دیفرانسیل مرتبه n
انتگرال کانولوشن
یافتن پاسخ ضربه از روی داشتن پاسخ به یک ورودی مشخص
درس چهارم: تحلیل حالت دائمی سینوسی
یادآوری از تحلیل فازوری
مقاومت، خازن و سلف در حالت فازوری
مدار معادل تونن در حال فازوری
حل مدارات در حالت دائمی سینوسی
قضیه حداکثر توان انتقالی در حالت فازوری
جمع آثار در حالت دائمی سینوسی
درس پنجم: مدارات تزویج و ترانسفورماتورها
تعیین علامت ولتاژ القایی سلف های تزویج
سلف معادل سلف های تزویج سری
مدار معادل سلف های تزویج در حالت فازوری
تحلیل مدارات شامل سلف های تزویج
ترانسفورماتور
تطبیق امپدانس با استفاده از ترانسفورماتور
انعکاس المان ها بین ترمینال های ترانسفورماتور
تحلیل مدارات شامل ترانسفورماتور

مدرس: مهندس امید زندی

لغات کلیدی:

آموزش, حل, تمرین, مدارهای, الکتریکی, ۱


نظرات برای این ویدئو توسط کاربر غیر فعال شده است.

درباره ما | تماس با ما | قوانین تخته سفید