آپلود ویدئو | ورود | ثبت نام


mojtabakd-

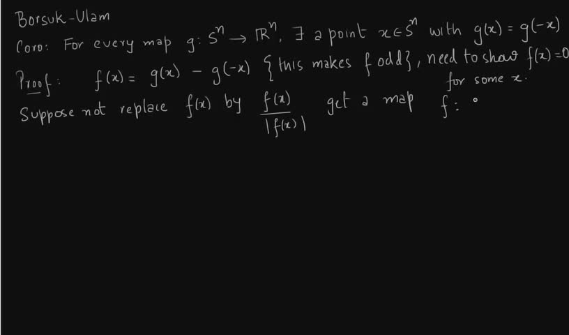
Bosuk Ulam III Proof


Embed گزارش تخلف

مشاهده 1204

دریافت ویدئو: حجم کم کیفیت بالا
توسط mojtabakd در 01 Oct 2015
توضیحات:

لغات کلیدی:

Bosuk, Ulam


comments powered by Disqus

درباره ما | تماس با ما | قوانین تخته سفید