آپلود ویدئو | ورود | ثبت نام


فرادرس-

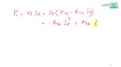
"حل تمرین مدارهای الکتریکی ۱ درس یکم: تحلیل مدارات الکتریکی ساده – مدار معادل تونن"


Embed گزارش تخلف

مشاهده 3729

دریافت ویدئو: حجم کم کیفیت بالا
توسط فرادرس در 23 Oct 2017
توضیحات:

برای کسب اطلاعات بیشتر، به این لینک مراجعه نمایید:
#http://www.faradars.org/fveee96051

در آموزش مدارهای الکتریکی ٢ (+) که در فرادرس ضبط شده است، به مباحث تئوری درس مدارهای الکتریکی ٢ پرداخته شده است. در این آموزش سعی داریم با حل تمرینات متنوع از این درس، دانسته هایمان را تست کنیم و بتوانیم مدارهای الکتریکی پایه ای که یکی از مهم ترین درس های مفهومی و پایه ای مهندسی برق است را بیشتر یاد بگیریم.



سرفصل های مورد بحث در این فیلم آموزشی عبارتند از:
درس یکم: حل تمرین از روش های اساسی تحلیل مدارات
تحلیل گره
تحلیل مش
تحلیل حلقه
تحلیل کات ست
تمرینات تکمیلی
فضای حالت
تمرینات به دست آوردن معادلات حالت مدارهای خطی و غیرخطی
درس دوم: حل تمرین از تبدیل لاپلاس
معرفی تبدیل لاپلاس
ویژگی ها و قضایای تبدیل لاپلاس
محاسبه تبدیل لاپلاس توابع و سیگنال های معروف
محاسبه تبدیل لاپلاس معکوس
کاربرد تبدیل لاپلاس در سیستم های خطی
تمرینات تکمیلی تبدیل لاپلاس
تحلیل مدارهای الکتریکی با استفاده از تبدیل لاپلاس
درس سوم: حل تمرین از توابع شبکه و ویژگی های آن
تابع تبدیل بهره ولتاژ، بهره جریان، امپدانس انتقالی و ادمیتانس انتقالی
محاسبه توابع تبدیل شبکه
پاسخ فرکانسی
قطب ها و صفرهای سیستم
فرکانس های طبیعی متغیر شبکه و مدار
تمرینات تکمیلی
محاسبه تعداد صفرها و قطب های مدار
درس چهارم: حل تمرین از شبکه های دوقطبی
ماتریس امپدانس
ماتریس ادمیتانس
ماتریس هیبرید
ماتریس انتقال
اتصال دوقطبی ها
درس پنجم: حل تمرین از قضایای شبکه
قضایای تونن و نورتن
قضیه جمع آثار
قضیه تلگان
قضیه بقای انرژی
قضیه هم پاسخی


مدرس: مهندس امید زندی

لغات کلیدی:

آموزش, حل, تمرین, مدارهای, الکتریکی, ۲


نظرات برای این ویدئو توسط کاربر غیر فعال شده است.

درباره ما | تماس با ما | قوانین تخته سفید