آپلود ویدئو | ورود | ثبت نام


siavash533-

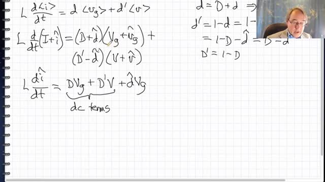
38- Perturbation and linearization 17 52


Embed گزارش تخلف

مشاهده 1200

دریافت ویدئو: حجم کم کیفیت بالا
توسط siavash533 در 01 Jun 2015
توضیحات:

لغات کلیدی:

circuit, power electronics, power, rectifier, electrical, electronics, converter, diodes, drives, buck converter, transformer, power electronics tutorials


comments powered by Disqus

درباره ما | تماس با ما | قوانین تخته سفید