آپلود ویدئو | ورود | ثبت نام


iic22098-

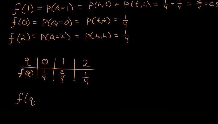
Probability Mass Function


Embed گزارش تخلف

مشاهده 1300

دریافت ویدئو: حجم کم کیفیت بالا
توسط iic22098 در 19 Jun 2015
توضیحات:

A simple explanation of the Probability Mass Function.

لغات کلیدی:

Probability, Mass, Function, introduction, introduce, prob, khan, academy, khanacademy, calculate, simple, explanation, example, what, is, find, math, engine...


comments powered by Disqus

درباره ما | تماس با ما | قوانین تخته سفید