آپلود ویدئو | ورود | ثبت نام


iic22098-

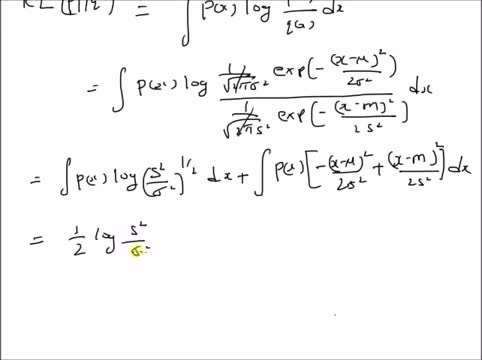
Kullback Leibler divergence between two normal pdfs


Embed گزارش تخلف

مشاهده 1467

دریافت ویدئو: حجم کم کیفیت بالا
توسط iic22098 در 23 Dec 2014
توضیحات:

KL divergence: Two Gaussian pdfs

لغات کلیدی:

probability


comments powered by Disqus

درباره ما | تماس با ما | قوانین تخته سفید