آپلود ویدئو | ورود | ثبت نام


دانشجو-

جلسه هفتاد و هشتم الکترونیک 2


Embed گزارش تخلف

مشاهده 1618

دریافت ویدئو: حجم کم کیفیت بالا
توسط دانشجو در 26 Aug 2015
توضیحات:

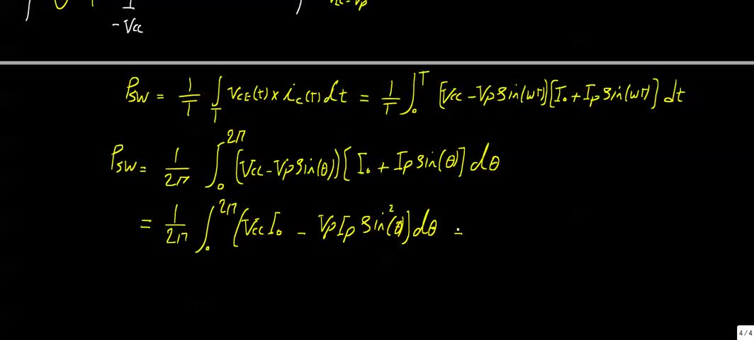
محاسبات توان و بازده و ملاحظات انتخاب ترانزیستور در تقویت کننده توان کلاس A

لغات کلیدی:


comments powered by Disqus

درباره ما | تماس با ما | قوانین تخته سفید