آپلود ویدئو | ورود | ثبت نام


saeed1922-

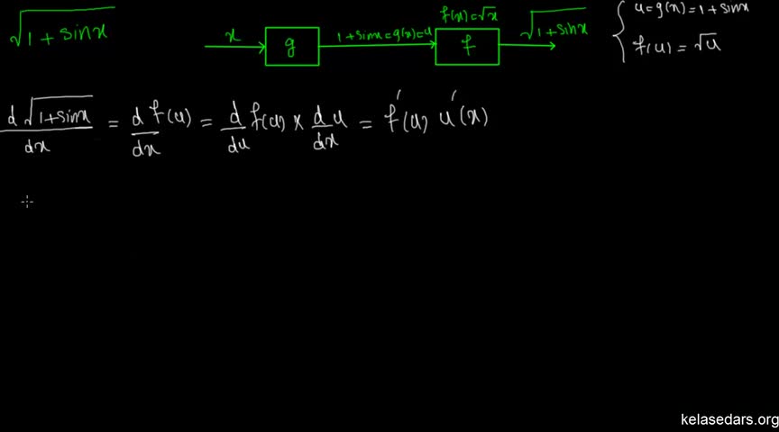
۲۲ - مثال از قاعده زنجیری


Embed گزارش تخلف

مشاهده 1871

دریافت ویدئو: حجم کم کیفیت بالا
توسط saeed1922 در 30 Aug 2013
توضیحات:

در این ویدیو به کمک یک مثال با قاعده زنجیری که یکی از مهمترین قواعد مشتق گیری است آشنا می شویم. نظرات، پیشنهادات و انتقادات شما مایه‌ی دلگرمی‌ ماست و بزرگتری...

لغات کلیدی:

۲۲, -, مثال, از, قاعده, زنجیری, دبیرستان, کلاس, درس, حسابان, حساب, دیفرانسیل, و, انتگرال, مشتق, آهنگ, تغییر, خط, مماس, آموزش, فارسی, ایران, افغانستان, محمد, اکبرپور, kelasedars.org, kelasedars, kh...


comments powered by Disqus

درباره ما | تماس با ما | قوانین تخته سفید