آپلود ویدئو | ورود | ثبت نام


elsun-

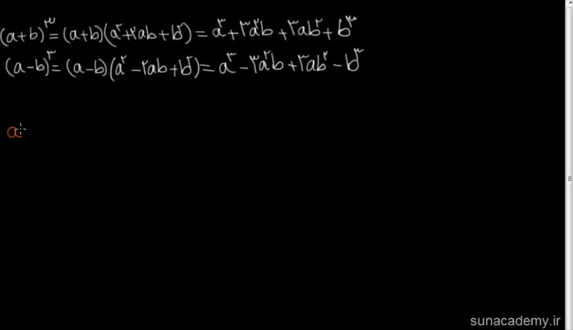
jabr-02-etehad2


Embed گزارش تخلف

مشاهده 1910

دریافت ویدئو: حجم کم کیفیت بالا
توسط elsun در 27 Jan 2014
توضیحات:

لغات کلیدی:

المپیاد, ریاضی, جبر


comments powered by Disqus

درباره ما | تماس با ما | قوانین تخته سفید