آپلود ویدئو | ورود | ثبت نام


siavash533-

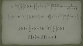
Physics - E&M: Capacitors & Capacitance (32 of 35) Energy=? of a Capacitor with 2 Dielectric Layers


Embed گزارش تخلف

مشاهده 1197

دریافت ویدئو: حجم کم کیفیت بالا
توسط siavash533 در 04 Mar 2016
توضیحات:

Visit http://ilectureonline.com for more math and science lectures! In this video I will find the energy of a capacitor with 2 dielectrics layers. Next video...

لغات کلیدی:

ilectureonline, ilectureonline.com, Mike, Mike van Biezen, van Biezen, Physics, Electromagnitism, Charge, Electric Charge (Dimension), Electric Field, Math, ...


comments powered by Disqus

درباره ما | تماس با ما | قوانین تخته سفید