آپلود ویدئو | ورود | ثبت نام


mojtabakd-

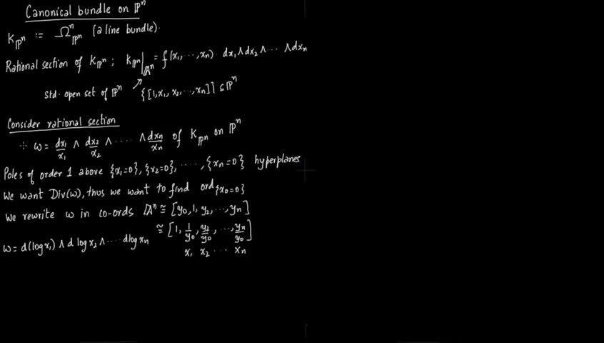
Canonical bundle of Pn


Embed گزارش تخلف

مشاهده 1247

دریافت ویدئو: حجم کم کیفیت بالا
توسط mojtabakd در 24 Sep 2015
توضیحات:

لغات کلیدی:

هندسه, جبری


comments powered by Disqus

درباره ما | تماس با ما | قوانین تخته سفید