آپلود ویدئو | ورود | ثبت نام


دانشجو-

جلسه شصت و ششم الکترونیک 2


Embed گزارش تخلف

مشاهده 1705

دریافت ویدئو: حجم کم کیفیت بالا
توسط دانشجو در 02 Aug 2015
توضیحات:

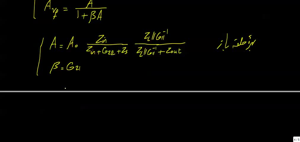
بررسی دقیق فیدبک ولتاژ - ولتاژ

لغات کلیدی:


comments powered by Disqus

درباره ما | تماس با ما | قوانین تخته سفید