آپلود ویدئو | ورود | ثبت نام


mojtabakd-

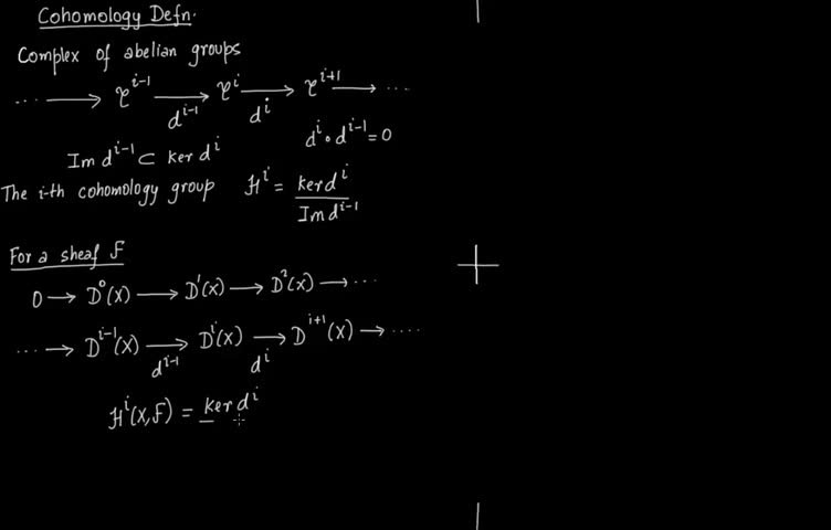
Cohomology Defn


Embed گزارش تخلف

مشاهده 1185

دریافت ویدئو: حجم کم کیفیت بالا
توسط mojtabakd در 24 Sep 2015
توضیحات:

Define cohomology, compute for i=0 for sheaves

لغات کلیدی:

Cohomology, Sheaves


comments powered by Disqus

درباره ما | تماس با ما | قوانین تخته سفید