آپلود ویدئو | ورود | ثبت نام


elsun-

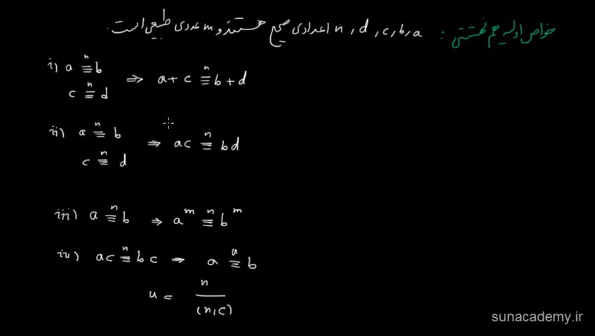
26- نظریه اعداد (هم نهشتی)


Embed گزارش تخلف

مشاهده 1690

دریافت ویدئو: حجم کم کیفیت بالا
توسط elsun در 27 Apr 2014
توضیحات:

لغات کلیدی:


comments powered by Disqus

درباره ما | تماس با ما | قوانین تخته سفید