آپلود ویدئو | ورود | ثبت نام


dormo715@gmail.com-

Behaviour 2


Embed گزارش تخلف

مشاهده 1289

دریافت ویدئو: حجم کم کیفیت بالا
توسط dormo715@gmail.com در 21 Feb 2015
توضیحات:

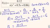
This set of videos considers the links between pole positions in a transfer function and expected system behaviour. The second video focuses on speed of resp...

لغات کلیدی:

Rossiter, analysis, control, Laplace, modelling, behaviour, engineering education, feedback, J.A.Rossiter, John Rossiter, lectures


comments powered by Disqus

درباره ما | تماس با ما | قوانین تخته سفید