آپلود ویدئو | ورود | ثبت نام


دانشجو-

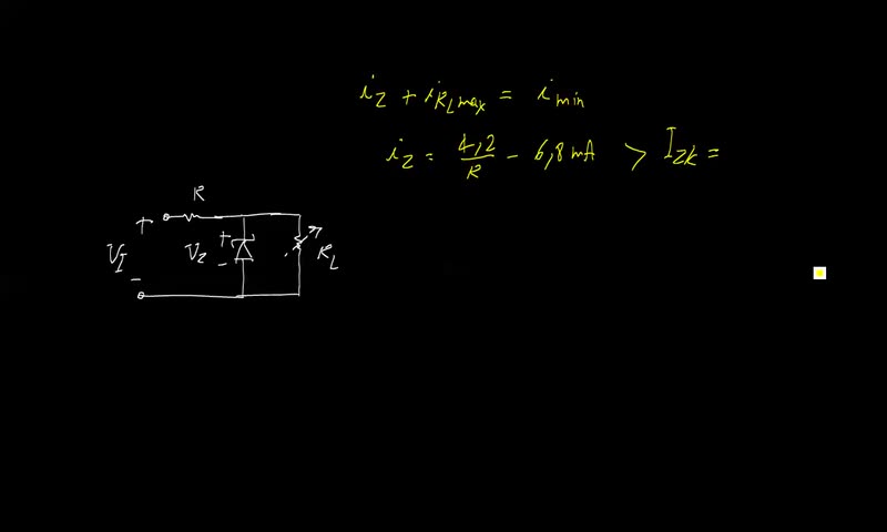
جلسه هفتم الکترونیک 1 بخش دوم


Embed گزارش تخلف

مشاهده 6919

دریافت ویدئو: حجم کم کیفیت بالا
توسط دانشجو در 26 Jul 2012
توضیحات:

حل تمرین از مدارات دیودی
ویدئو های کامل درس در:
http://maktabkhooneh.org/course?course=daneshjoo294

لغات کلیدی:


comments powered by Disqus

درباره ما | تماس با ما | قوانین تخته سفید