آپلود ویدئو | ورود | ثبت نام


elsun-

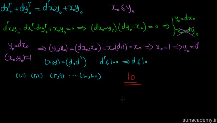
سوال 23 مرحله اول المپیاد ریاضی سال 1391


Embed گزارش تخلف

مشاهده 2104

دریافت ویدئو: حجم کم کیفیت بالا
توسط elsun در 26 Jan 2014
توضیحات:

لغات کلیدی:

المپیاد, ریاضی


comments powered by Disqus

درباره ما | تماس با ما | قوانین تخته سفید