آپلود ویدئو | ورود | ثبت نام


saeed1922-

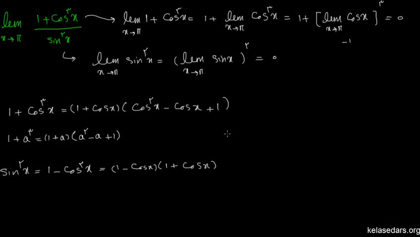
۱۶ - حدهای نامعین صفر صفرم ۴ - توابع مثلثاتی


Embed گزارش تخلف

مشاهده 2403

دریافت ویدئو: حجم کم کیفیت بالا
توسط saeed1922 در 30 Aug 2013
توضیحات:

در این ویدیو با حدهای صفر صفرم در توابع مثلثاتی آشنا می شویم. نظرات، پیشنهادات و انتقادات شما مایه‌ی دلگرمی‌ ماست و بزرگترین کمک به ما برای بهبود کیفیت ویدیو...

لغات کلیدی:

۱۶, -, حدهای, نامعین, صفر, صفرم, ۴, -, توابع, مثلثاتی, حسابان, حد, دیفرانسیل, سوم, دبیرستان, پیش, دانشگاهی, کلاس, درس, kelasedars.org, kelasedars, khanacademy, farsi


comments powered by Disqus

درباره ما | تماس با ما | قوانین تخته سفید