آپلود ویدئو | ورود | ثبت نام


Parisa202-

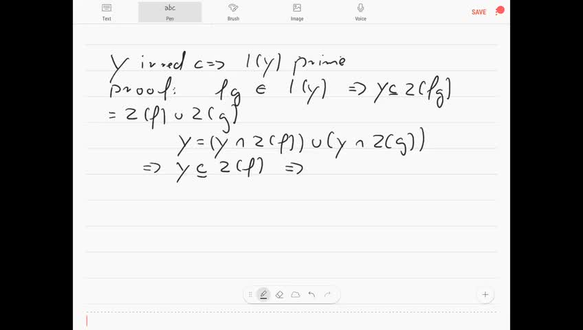
Algebraic Geometry: Algebraic set is irreducible if and only if its ideal is prime


Embed گزارش تخلف

مشاهده 1076

دریافت ویدئو: حجم کم کیفیت بالا
توسط Parisa202 در 25 Feb 2018
توضیحات:

Algebraic set is irreducible if and only if its ideal is prime

لغات کلیدی:


comments powered by Disqus

درباره ما | تماس با ما | قوانین تخته سفید