آپلود ویدئو | ورود | ثبت نام


saeed1922-

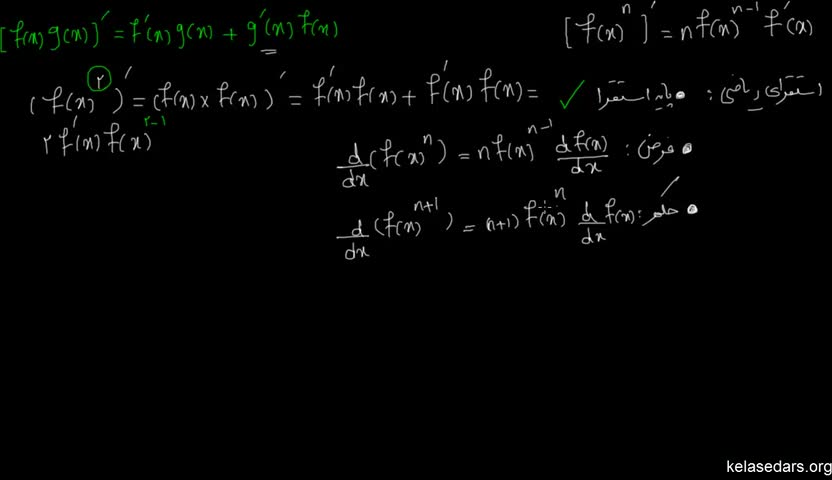
۱۸ - مشتق توان یک تابع


Embed گزارش تخلف

مشاهده 2026

دریافت ویدئو: حجم کم کیفیت بالا
توسط saeed1922 در 30 Aug 2013
توضیحات:

در این ویدیو با مشتق توان یک تابع آشنا می شویم. نظرات، پیشنهادات و انتقادات شما مایه‌ی دلگرمی‌ ماست و بزرگترین کمک به ما برای بهبود کیفیت ویدیو‌ها خواهد بود....

لغات کلیدی:

۱۸, -, مشتق, توان, یک, تابع, دبیرستان, کلاس, درس, حسابان, حساب, دیفرانسیل, و, انتگرال, مشتق, آهنگ, تغییر, خط, مماس, آموزش, فارسی, ایران, افغانستان, محمد, اکبرپور, kelasedars.org, kelasedars, kh...


comments powered by Disqus

درباره ما | تماس با ما | قوانین تخته سفید