آپلود ویدئو | ورود | ثبت نام


deluxeboy-

Hydraulics Math


Embed گزارش تخلف

مشاهده 1577

دریافت ویدئو: حجم کم کیفیت بالا
توسط deluxeboy در 08 May 2015
توضیحات:

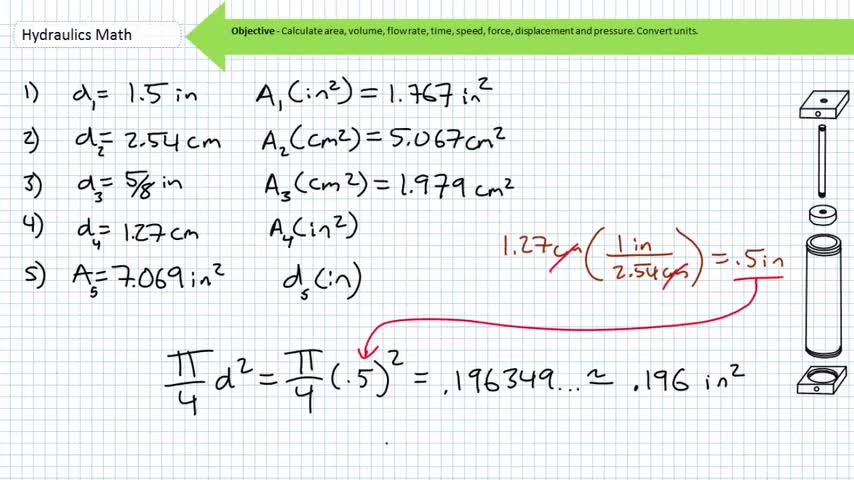
This lecture discusses mathematical skills necessary for success in the hydraulics and electrical control of hydraulic systems playlist including common hydr...

لغات کلیدی:

bigbadtech, Pytel, bigbadtech.com, renewable energy, training, education, tutorial, learn, wind turbine, solar power, free, lecture, lesson, school, circuit ...


comments powered by Disqus

درباره ما | تماس با ما | قوانین تخته سفید