آپلود ویدئو | ورود | ثبت نام


saeed1922-

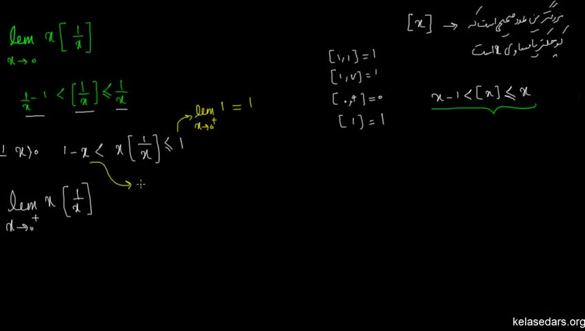
۱۱ - مثال از حد با تابع جزء صحیح


Embed گزارش تخلف

مشاهده 6820

دریافت ویدئو: حجم کم کیفیت بالا
توسط saeed1922 در 30 Aug 2013
توضیحات:

در این ویدیو به حل یک مثال از مبحث حد می پردازیم. نظرات، پیشنهادات و انتقادات شما مایه‌ی دلگرمی‌ ماست و بزرگترین کمک به ما برای بهبود کیفیت ویدیو‌ها خواهد بو...

لغات کلیدی:

۱۱, -, مثال, از, حد, با, تابع, جزء, صحیح, حسابان, حد, دیفرانسیل, سوم, دبیرستان, پیش, دانشگاهی, کلاس, درس, kelasedars.org, kelasedars, khanacademy, farsi


comments powered by Disqus

درباره ما | تماس با ما | قوانین تخته سفید