آپلود ویدئو | ورود | ثبت نام


siavash533-

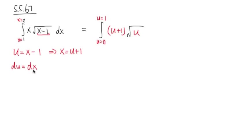
Sect 5 5 #67, integral of x*sqrt(x-1) from 1 to 2


Embed گزارش تخلف

مشاهده 912

دریافت ویدئو: حجم کم کیفیت بالا
توسط siavash533 در 27 Aug 2018
توضیحات:

Integrals with U-Substitution,
integral of x*sqrt(x-1) from 1 to 2,

solution playlist page http://www.blackpenredpen.com/math/Calculus.html

integrals with u substitution, what is u substitution, un-do chain rule,
James Stewart single variable Calculus sect 5.5, integration examples, antiderivative examples, u sub, u substitution examples, u-world, reversed power rule, integrals, integral practices, calculus homework answers, best calculus help, blackpenredpen,

لغات کلیدی:


comments powered by Disqus

درباره ما | تماس با ما | قوانین تخته سفید