آپلود ویدئو | ورود | ثبت نام


mostafa_kordi-

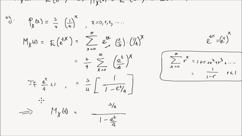
Lesson 15: Moment Generating Functions - YouTube


Embed گزارش تخلف

مشاهده 1590

دریافت ویدئو: حجم کم کیفیت بالا
توسط mostafa_kordi در 08 Jun 2014
توضیحات:

Introduction to Moment Generating Functions

لغات کلیدی:

Probability, MGF, Statistics, Actuarial, Actuarialpath, Actuarial, Science, Moment, Generating, Functions, Actuarial, Exams, Society, of, Actuaries, Exam, P


comments powered by Disqus

درباره ما | تماس با ما | قوانین تخته سفید