آپلود ویدئو | ورود | ثبت نام


mazda-

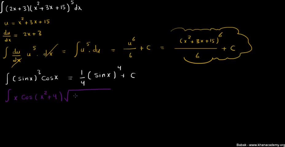
انتگرال, نامعین, قسمت, 3 - چند مثال دیگر


Embed گزارش تخلف

مشاهده 5368

دریافت ویدئو: حجم کم کیفیت بالا
توسط mazda در 18 Aug 2012
توضیحات:

لغات کلیدی:

انتگرال, کلاس, درس, خان, آکادمی, آموزش, آنلاین, انتگرال, نامعین, قسمت, 3


comments powered by Disqus

درباره ما | تماس با ما | قوانین تخته سفید