آپلود ویدئو | ورود | ثبت نام


دانشجو-

جلسه چهل و نهم الکترونیک 2


Embed گزارش تخلف

مشاهده 2686

دریافت ویدئو: حجم کم کیفیت بالا
توسط دانشجو در 03 Jul 2013
توضیحات:

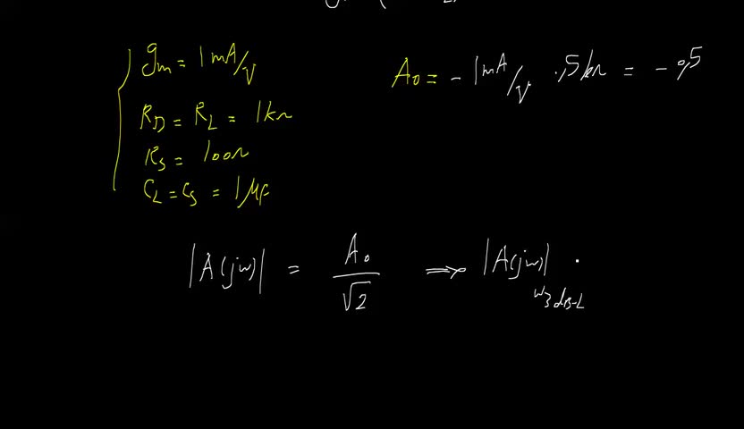
مثالی از پاسخ فرکانس پایین.

لغات کلیدی:


comments powered by Disqus

درباره ما | تماس با ما | قوانین تخته سفید