آپلود ویدئو | ورود | ثبت نام


عرفان صلواتی-

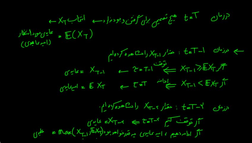
توقف بهینه-3


Embed گزارش تخلف

مشاهده 845

دریافت ویدئو: حجم کم کیفیت بالا
توسط عرفان صلواتی در 28 Nov 2019
توضیحات:

لغات کلیدی:


comments powered by Disqus

درباره ما | تماس با ما | قوانین تخته سفید