آپلود ویدئو | ورود | ثبت نام


dormo715@gmail.com-

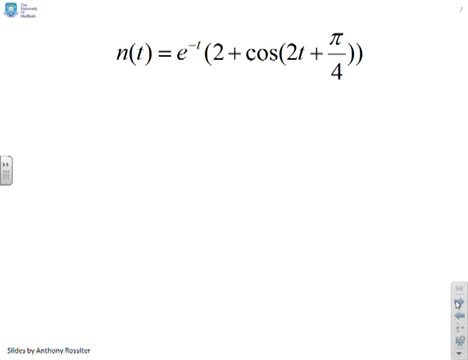
Tutorial sheet 1 - Laplace transforms


Embed گزارش تخلف

مشاهده 1327

دریافت ویدئو: حجم کم کیفیت بالا
توسط dormo715@gmail.com در 21 Feb 2015
توضیحات:

Gives a short number of typical tutorial style questions for students to attempt. Latter part of video goes through the solutions using a look-up table and a...

لغات کلیدی:

Rossiter, analysis, control, Laplace, modelling, behaviour, engineering education, feedback


comments powered by Disqus

درباره ما | تماس با ما | قوانین تخته سفید