آپلود ویدئو | ورود | ثبت نام


saeed1922-

۱۰ - مثال از تصاعد هندسی


Embed گزارش تخلف

مشاهده 2336

دریافت ویدئو: حجم کم کیفیت بالا
توسط saeed1922 در 30 Aug 2013
توضیحات:

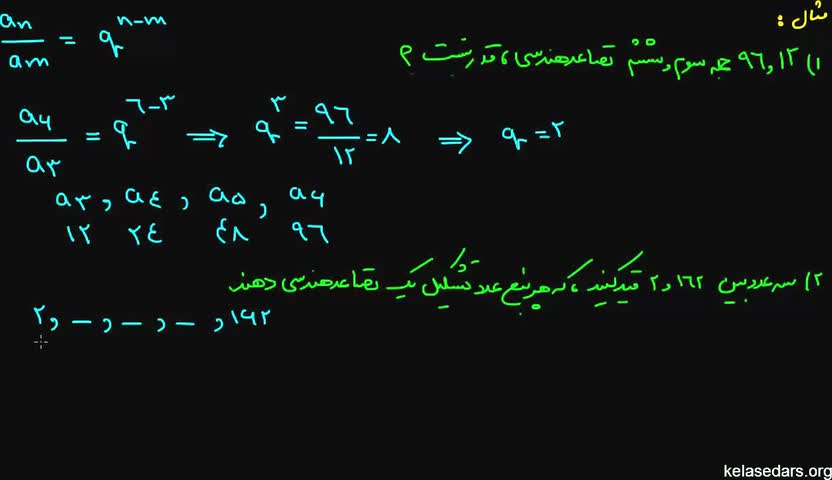
در این ویدیو به حل دو مثال ساده از تصاعد هندسی می پردازیم. نظرات، پیشنهادات و انتقادات شما مایه‌ی دلگرمی‌ ماست و بزرگترین کمک به ما برای بهبود کیفیت ویدیو‌ها...

لغات کلیدی:

۱۰, -, مثال, از, تصاعد, هندسی, ریاضیات, ریاضی, ۲, تصاعد, تصاعدهندسی, دبیرستان+, خان, آکادمی, فارسی, کلاس, درس, KelaseDars+, +مثال


comments powered by Disqus

درباره ما | تماس با ما | قوانین تخته سفید