آپلود ویدئو | ورود | ثبت نام


mojtabakd-

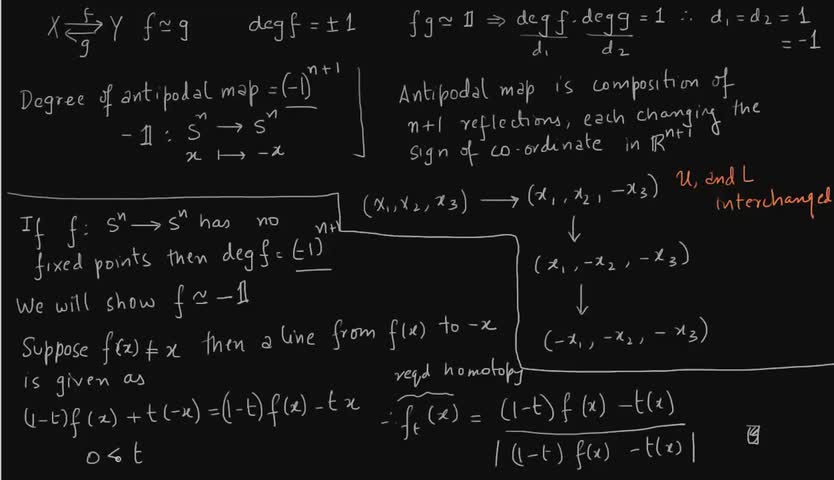
Degree Part II (Corrected Version)


Embed گزارش تخلف

مشاهده 1192

دریافت ویدئو: حجم کم کیفیت بالا
توسط mojtabakd در 01 Oct 2015
توضیحات:

لغات کلیدی:


comments powered by Disqus

درباره ما | تماس با ما | قوانین تخته سفید